Engineers House, TC 26/1300, Panavila, Thiruvananthapuram - 6950010471 2330696ksebea@gmail.com

Technology

Google Home Mini, Chrome cast and inverter LED

Google Home Mini- you can buy this product from flipkart and this will be a one stop solution for all your searches and requirements. A good device which require just a wifi network( after installation you can use your own hotspot) and google home app. This can be user for controlling your room temperature, music player, alarm, reminder,maps and your TV etc.
Chrome cast- Another device of GOOGLE which allow you to connect your phone to TV. You can play movie or songs or anything using this google device and control the same from your Google Home mini. This can be used with Youtube Netflix etc.
Another good thing- for all those who don’t have inverter at home may purchase Inverter LED. This LED has a switching mechanism with inbuilt battery and AC supply. One is costing 450 or less in on line shopping. This will solve the issue if you dont want to search for a candle light or match box.

Surge Impedance Loading (SIL) of Transmission Line

 

The surge impedance loading (SIL) of a line is the power load at which the net reactive power is zero. So, if your transmission line wants to “absorb” reactive power, the SIL is the amount of reactive power you would have to produce to balance it out to zero. You can calculate it by dividing the square of the line-to-line voltage by the line’s characteristic impedance.

Transmission lines can be considered as, a small inductance in series and a small capacitance to earth, – a very large number of this combinations, in series. Whatever voltage drop occurs due to inductance gets compensated by capacitance. If this compensation is exact, you have surge impedance loading and no voltage drop occurs for an infinite length or, a finite length terminated by impedance of this value (SIL load). (Loss-less line assumed!). Impedance of this line can be proved to be sqrt (L/C). If capacitive compensation is more than required, which may happen on an unloaded EHV line, then you have voltage rise at the other end, the ferranti effect. Although given in many books, it continues to remain an interesting discussion always.

The capacitive reactive power associated with a transmission line increases directly as the square of the voltage and is proportional to line capacitance and length.

Capacitance has two effects:

1 Ferranti effect
2 rise in the voltage resulting from capacitive current of the line flowing through the source impedances at the terminations of the line.

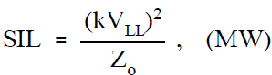
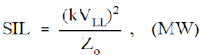
SIL is Surge Impedance Loading and is calculated as (KV x KV) / Zs their units are megawatts.

Where Zs is the surge impedance….be aware…one thing is the surge impedance and other very different is the surge impedance loading.


 
Loading of any transmission line depends on,
  • Thermal limitation (I2R limitation)
  • Voltage regulation
  • Stability Limitation
This is defined as the load (of unity power factor) that can be delivered by the line of negligible resistance.
Where VLL is the receiving end voltage in kV and Zo is the surge impedance in ohms, and SIL is the surge impedance loading or natural loading of the line
The above  expression gives a limit of the maximum power that can be delivered by a line and is useful in designing the transmission line. This can be used for the comparison of loads that can be carried on the transmission lines at different voltages
From the above expression power transmitted through a long transmission lines can be either increased by increasing the value of the receiving end line voltage (VLL) or by reducing the surge impedance (Zo). Voltage transmission capability is increased day by day, this is the most commonly adopted method for increasing the power limit of the heavily loaded transmission line. But there is a limit beyond which is neither economical nor practical to increase the receiving end line voltage
By applying some methods such as introducing series capacitors (capacitors in series with the transmission line) or shunt capacitors (capacitors in parallel with transmission lines) can be used to reduce the value of surge impedance (Zo).
Surge Impedance Loading (SIL) can be increased by reducing the Surge impedance of the line. From the above expression Zo can be decreased by either increasing the capacitance (C) of the line or by reducing the inductance (L) of the line. Inductance (L) of the transmission line cannot be reduced easily
By use of the series capacitors surge impedance (Zo) and the phase shift get reduced due to decrease in the line inductance (L). This improves the system stability limit. These capacitors also helps in reducing the line drops and so voltage variations. But this method causes difficulty under short circuit conditions of system as capacitors will get damage.
By use of shunt capacitors though the surge impedance (Zo) is reduced but the phase shift of the system increases this affects the poor stability in the system specially when synchronous machines are under the load. This method is not employed in long transmission lines specially when stability limits are present

Surge Impedance loading- download

Pumped Storage

 

Smart Grid Technology

Electricity is the most versatile and widely used form of energy and global demand is growing continuously. The electrical power system was built up over more than a century. It is now one of the most effective components of the infrastructure on which modern society depends. It delivers electrical energy to industry, commercial and residential consumers. To satisfy both the increasing demand for power and the need to reduce carbon dioxide emissions, we need an electric system that can handle these challenges in a sustainable, reliable and economic way. Today, existing grids are under pressure to deliver the growing demand for power, as well as provide a stable and sustainable supply of electricity. These complex challenges are driving the evolution of Smart Grid technologies.

Smart Grid is a modernized and evolved electrical grid that uses analogue or digital information and communications technology to gather and act on information, such as information about the behaviors of suppliers and consumers, in an automated fashion to improve the efficiency, reliability, economics, and sustainability of the production and distribution of electricity.
The Smart Grid represents an unprecedented opportunity to move the energy industry into a new era and will contribute to our economic and environmental health. The benefits associated with the Smart Grid include:

  • More efficient transmission of electricity
  • Quicker restoration of electricity after power disturbances
  • Reduced operations and management costs for utilities, and ultimately lower power costs for consumers
  • Reduced peak demand, which will also help lower electricity rates
  • Increased integration of large-scale renewable energy systems
  • Better integration of customer-owner power generation systems, including renewable energy systems
  • Improved security

Smart grids will make use of new design concepts and advanced materials in system components like transformers and circuit breakers to improve efficiency, safety and operational performance. Widespread use of power electronic devices will help maximize performance of existing assets and make the grid more resilient in the event of disruptions. In general, smart grid technology can be grouped into five key areas; Integrated communications, Sensing and measurement which includes Smart meters and Phasor measurement units, Advanced components like Distributed power flow control and Smart power generation using advanced components, Advanced control and Improved interfaces and decision support. Implementation of smart grids will lead to reliable operation and effective performance of distributed generations based on renewable energy resources, as well as enabling better use of existing power stations and improving the efficiency of industries. Moreover, this technology causes better operation of power grids and addresses the power quality issues through using advanced controllers, power electronic equipments and economical and managerial decisions making.

Electrical systems will undergo a major evolution, improving reliability and reducing electrical losses, capital expenditures and maintenance costs. The smart grid is the future for electrical systems, as it is designed to meet the four major electricity requirements of our global society: capacity, reliability, efficiency and sustainability.

Phasor measurement unit (PMU)

A phasor measurement unit (PMU) or synchrophasor is a device which measures the electrical waves on an electricity grid, using a common time source for synchronization. Time synchronization allows synchronized real-time measurements of multiple remote measurement points on the grid. In power engineering, these are also commonly referred to as synchrophasors and are considered one of the most important measuring devices in the future of power systems.

A PMU can measure 50/60 Hz AC waveforms (voltages and currents) typically at a rate of 48 samples per cycle (2880 samples per second for 60Hz systems). The analog AC waveforms are digitized by an Analog to Digital converter for each phase. A phase-lock oscillator along with a Global Positioning System (GPS) reference source provides the needed high-speed synchronized sampling with 1 microsecond accuracy. The resultant time tagged phasors can be transmitted to a local or remote receiver at rates up to 60 samples per second.

Menu